NCERT Solutions for Class 8 Maths Chapter 9 Algebraic Expressions and Identities Ex 9.3
Algebraic Expressions and Identities: Here you get NCERT Solutions for Class 8 Maths Chapter 9 Algebraic Expressions and Identities Ex 9.3 with Answers Pdf free download.In NCERT Solution Class 8 Maths with Answers you get question-answer based on latest exam pattern. By providing NCERT Chapter-wise Class 6 Maths Questions with Answers our target to help students get concept of the lesson very well.
You can also visit NCERT Questions for Class 8 Maths Chapter-wise Questions with Answers to revise your syllabus thoroughly and enhance the chances of securing high marks in your board exams. It also helps in your CBSE NCERT Class 8 online test, online exam for admission well.
-------------------------------------------------------------
Board CBSE
-------------------------------------------------------------
TextBook NCERT
-------------------------------------------------------
CLASS Class 8
--------------------------------------------------------
SUBJECT Maths
----------------------------------------------------------
CHAPTER Chapter 9
-------------------------------------------------------------
SUBJECT Algebraic Expressions and Identities
--------------------------------------------------------------
Visit NCERT SOLUTIONS
--------------- --------------------------------------
Class 8 Maths Algebraic Expressions and Identities Exercise 9.1
Class 8 Maths Algebraic Expressions and Identities Exercise 9.2
Class 8 Maths Algebraic Expressions and Identities Exercise 9.3
Class 8 Maths Algebraic Expressions and Identities Exercise 9.4
Class 8 Maths Algebraic Expressions and Identities Exercise 9.5
You May Like
NCERT Solutions Class 8 Science
NCERT Solutions for Class 8 Maths Chapter 9 Algebraic Expressions and Identities Ex 9.3 with Answers
Exercise 9.3
Question 1.
Carry out the multiplication of the expressions in each of the following pairs:
(i) 4p, q + r
(ii) ab, a – b
(iii) a+b,7a2b2
(iv) a2−9,4a
(v) pq + qr + rp, 0
Answer 1:
Solution:
(i) 4p × (q + r) = (4p × q) + (4p × r) = 4pq + 4pr
(ii) ab × (a – b) = (ab × a) – (ab × b) = a²b – ab²
(iii) (a + b) × 7a²b² = (a × 7a²b²) + (b × 7a²b²) = 7a³b² + 7a²b³
(iv) (a² – 9) × 4a = (a² × 4a) – (9 × 4a) = 4a³ – 36a
(v) (pq + qr + rp) × 0 = 0
[∵ Any number multiplied by 0 is = 0]
Complete the table.
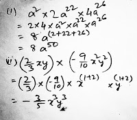
Question 3.
Find the products.
Answer:
Question 4.
(a) Simplify: 3x(4x – 5) + 3 and find its values for (i) x = 3 (ii) x = 12.
(b) Simplify: a(a² + a + 1) + 5 and find its value for (i) a = 0 (ii) a = 1 (iii) a = -1
Answer:
Question 5.
(a) Add: p(p – q), q(q – r) and r(r – p)
(b) Add: 2x(z – x – y) and 2y(z – y – x)
(c) Subtract: 3l(l – 4m + 5n) from 4l(10n – 3m + 2l)
(d) Subtract: 3a(a + b + c) – 2b(a – b + c) from 4c(-a + b + c)
Answer:
(a) p(p – q) + q(q – r) + r(r – p)
= (p × p) – (p × q) + (q × q) – (q × r) + (r × r) – (r × p)
= p² – pq + q² – qr + r² – rp
= p² + q² + r² – pq – qr – rp
(b) 2x(z – x – y) + 2y(z – y – x)
= (2x × z) – (2x × x) – (2x × y) + (2y × z) – (2y × y) – (2y × x)
= 2xz – 2x² – 2xy + 2yz – 2y² – 2xy
= -2x² – 2y² + 2xz + 2yz – 4xy
= -2x² – 2y² – 4xy + 2yz + 2xz
(c) 4l(10n – 3m + 2l) – 3l(l – 4m + 5n)
= (4l × 10n) – (4l × 3m) + (4l × 2l) – (3l × l) – (3l × -4m) – (3l × 5n)
= 40ln – 12lm + 8l² – 3l² + 12lm – 15ln
= (40ln – 15ln) + (-12lm + 12lm) + (8l² – 3l²)
= 25ln + 5l²
= 5l² + 25ln
(d) [4c(-a + b + c)] – [3a(a + b + c) – 2b(a – b + c)]
= (-4ac + 4bc + 4c²) – (3a² + 3ab + 3ac – 2ab + 2b² – 2bc)
= -4ac + 4bc + 4c² – 3a² – 3ab – 3ac + 2ab – 2b² + 2bc
= -3a² – 2b² + 4c² – ab + 6bc – 7ac
NCERT Solutions for Class 8 Maths Chapter 9 Algebraic Expressions and Identities Ex 9.3 with Answers




